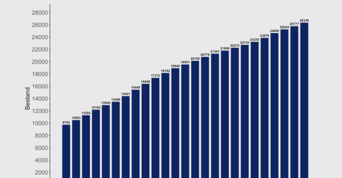
2024 sind in Deutschland 711 Stiftungen gegründet worden. Das ist das Ergebnis der jüngsten Erhebung des Bundesverbands Deutscher Stiftungen. Im Vorjahr waren es noch 637. Der Nettozuwachs ist ebenfalls gestiegen: von 2,1 auf 2,2 Prozent. Damit bestanden zum Stichtag 31. Dezember in Deutschland 26.349 rechtsfähige Stiftungen. In den Jahren 2020, 2010 und 2000 waren es 23.876, 18.162, sowie 9.754 gewesen. Auch 2024 hat sich ein Trend der vergangenen Jahre fortgesetzt: Der Anteil privatnütziger Stiftungen unter den Gründungen nimmt weiterhin zu: Machten sie 2023 rund 45 Prozent aus, liegt der Wert nun bei 48 Prozent.
Externer Inhalt von Datawrapper
Um externe Inhalte anzuzeigen, ist Ihre widerrufliche Zustimmung nötig. Dabei können personenbezogene Daten von Drittplattformen (ggf. USA) verarbeitet werden. Weitere Informationen.
Im Bestand wird sich diese Entwicklung erst über längere Frist deutlich zeigen: Mit 89 Prozent bleiben gemeinnützige Stiftungen die dominierende Größe – auch wenn sie einen Prozentpunkt an die privatnützigen Stiftungen abgeben mussten. In der Regel, so der Bundesverband, handelt es sich bei diesen steuerpflichtigen Organisationen um Familienstiftungen. Sie sind darauf ausgerichtet, das Vermögen von Familien über Zweige und Generationen zu erhalten.
Ein stabiler Trend zeigt sich auch bei den Satzungszwecken: Wie in den vergangenen 25 Jahren sind die drei Aspekte Soziale Dienste, Bildung und Erziehung sowie Kunst und Kultur weiterhin die häufigsten, so der Bundesverband – „und das sowohl bei den Neugründungen als auch beim Gesamtbestand (Mehrfachnennungen waren möglich).“ Erneut auf Platz vier bei den Neugründungen liegt hingegen Umwelt-, Natur- und Artenschutz mit 19,5 Prozent. Im Jahr 2000 machte dieser Zwecktyp noch zwölf Prozent der neuen Stiftungen aus.
Externer Inhalt von Datawrapper
Um externe Inhalte anzuzeigen, ist Ihre widerrufliche Zustimmung nötig. Dabei können personenbezogene Daten von Drittplattformen (ggf. USA) verarbeitet werden. Weitere Informationen.
Das Ost-West-Gefälle hat weiterhin Bestand, allerdings belegen Brandenburg mit 5,7 Prozent und Thüringen mit 4,3 Prozent Platz eins und drei der Neugründungen – zwischen ihnen liegt Rheinland-Pfalz mit 5,2 Prozent. Der Basiseffekt wirkt sich aufgrund der niedrigen Zahl dabei besonders stark aus. Weiterhin ist die Dichte an Stiftungen in West- deutlich höher als in Ostdeutschland.
Externer Inhalt von Datawrapper
Um externe Inhalte anzuzeigen, ist Ihre widerrufliche Zustimmung nötig. Dabei können personenbezogene Daten von Drittplattformen (ggf. USA) verarbeitet werden. Weitere Informationen.
